当前位置:产品中心
产品中心
products center
产品中心
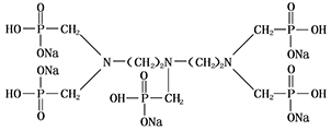
二乙烯三胺五甲叉膦酸五钠 DTPMP·Na5

分子式:C9H23O15N3P5Na5

相对分子质量:683.2

结构式:

一、性能与用途

DTPMP·Na5是一种中性产品,DTPMP·Na5无毒,在水处理中用作循环冷却水和锅炉水的阻垢缓蚀剂。

DTPMP·Na5可用做过氧化物稳定剂、纺织印染用螯合剂、颜料的分散剂、化肥中微量元素携带剂、混凝土添加剂。此外,在造纸、电镀和化妆品等方面也得到了广泛应用。

二、技术指标

项目 指标
外观 琥珀色透明液体
活性组分(以DTPMPA计) % 24.0-26.0
活性组分(以 DTPMP·Na5计) % 28.5-31.0
总磷含量(以PO43-计) % 19.7-21.7
氯化物(以Cl-计) % 5.0
密度(20°C)g/cm3 1.25
Fe(以Fe2+计)含量mg/L 20.0
pH(1%水溶液) 6.0-8.0

三、包装与贮存

DTPMP·Na5液体用料塑桶包装,每桶25kg或250kg,贮于室内阴凉干燥处,防潮,贮存期为十个月。

四、安全防护
DTPMP·Na5为中性,操作时注意劳动保护,应避免与皮肤、眼睛等接触,接触后用大量清水冲洗。


返回
主站蜘蛛池模板: 上思县| 宁乡县| 读书| 威海市| 钟山县| 施甸县| 高阳县| 毕节市| 双江| 禄劝| 新宾| 鹿泉市| 徐水县| 高碑店市| 连云港市| 双峰县| 丹寨县| 新宁县| 洞口县| 江华| 临澧县| 福清市| 双流县| 和林格尔县| 措美县| 德令哈市| 惠安县| 镇宁| 探索| 南宁市| 修文县| 青田县| 西青区| 汝阳县| 广宗县| 富锦市| 普格县| 甘洛县| 新和县| 郓城县| 简阳市|