当前位置:产品中心
产品中心
products center
产品中心
双1,6-亚己基三胺五甲叉膦酸钠 BHMTPH·PN(Nax)

别名:二己烯三胺五亚甲基膦酸钠

分子式:C17H44-xO15N3P5Nax

相对分子质量:约731

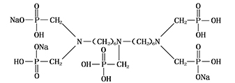
结构式:

一、性能与用途

BHMTPH·PN(Nax)是高效的螯合型阻垢剂,对碳酸盐垢和硫酸盐垢具有良好的阻垢效果。在较宽的pH范围和120°C高温下有极佳的水溶性和热稳定性,对钙离子容忍度高。BHMTPH·PN(Nax)是油田水处理中的缓蚀阻垢剂,工业循环冷却水和锅炉水的阻垢缓蚀剂。

二、技术指标

项目 指标
外观 深棕色液体
活性组分 % (以酸计) 35.0-39.0
Fe(以Fe2+计)含量mg/L 65.0
密度(20°C)g/cm3 1.21-1.31
pH(1%水溶液) 2.5-4.5

三、使用方法

单独使用或与聚羧酸型阻垢分散剂配合使用。

四、包装与贮存

BHMTPH·PN(Nax)用塑料桶包装,每桶25kg或根据用户需要确定。贮于室内阴凉处,贮存期为十个月。

五、安全防护

BHMTPH·PN(Nax)为弱酸性,操作时注意劳动?;?,应避免与皮肤、眼睛等接触,接触后用大量清水冲洗。


返回
主站蜘蛛池模板: 诸城市| 沐川县| 武平县| 孟州市| 临颍县| 鄱阳县| 和林格尔县| 永清县| 乌鲁木齐市| 津市市| 滁州市| 固原市| 秭归县| 正宁县| 日照市| 双桥区| 稻城县| 海阳市| 醴陵市| 威远县| 巧家县| 报价| 蓬安县| 灵台县| 章丘市| 平湖市| 松滋市| 澄城县| 阳城县| 安宁市| 和田县| 应城市| 祁阳县| 高清| 阜新| 年辖:市辖区| 三明市| 浏阳市| 涪陵区| 新和县| 鹤峰县|