当前位置:产品中心
产品中心
products center
产品中心
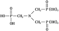
氨基三甲叉膦酸 ATMP

别名:氨基三亚甲基膦酸

分子式:N(CH2PO3H2)3

相对分子质量:299.05

结构式:

一、性能与用途

ATMP具有良好的螯合、低限抑制及晶格畸变作用??勺柚顾谐晒秆卫嘈纬伤福乇鹗翘妓岣乒傅男纬?。ATMP在水中化学性质稳定,不易水解。在水中浓度较高时,有良好的缓蚀效果。

ATMP用于火力发电厂、炼油厂的循环冷却水、油田回注水系统。可以起到减少金属设备或管路腐蚀和结垢的作用。ATMP在纺织印染等行业用作金属离子螯合剂,也可用于金属表面处理剂等。

ATMP固体为结晶性粉末,易溶于水,易吸潮,易于运输和使用,尤其适用于冬季严寒地区。

二、技术指标

项目 指标 符合HG/T2841-2005
外观 无色或淡黄色透明液体 白色结晶性粉末
活性组分(以ATMP计) % 50.0 50.0 95.0
氨基三甲叉膦酸含量 % -- 40.0 88.0
亚磷酸(以PO33-计) % 5.0 3.5 --
磷酸(以PO43-计) % 1.0 0.8 0.8
氯化物(以Cl-计) % 3.5 2.0 1.0
铁(以Fe2+计)含量mg/L -- 20.0 20.0
密度(20°C)g/cm3 1.28 1.30 --
pH(1%水溶液) 1.5-2.5 1.5-2.5 2.0

三、使用方法

ATMP常与其它有机膦酸、聚羧酸或盐等复配成有机水处理剂,用于各种不同水质条件下的循环冷却水系统。用量以1-20mg/L为佳;作缓蚀剂使用时,用量为20-60mg/L。

四、包装与贮存

ATMP液体用塑料桶包装,每桶30kg或250kg;ATMP固体用内衬聚乙烯袋的塑料编织袋包装,每袋净重25kg,也可根据用户需要确定。贮于室内阴凉通风处,防潮、严防曝晒,贮存期十个月。

五、安全防护

ATMP为酸性,操作时注意劳动保护,应避免与皮肤、眼睛等接触,接触后应立即用大量清水冲洗。


返回
主站蜘蛛池模板: 时尚| 巫溪县| 阿拉善左旗| 隆德县| 休宁县| 江安县| 宜兴市| 孝感市| 桃园市| 建瓯市| 遵义县| 西乌| 石柱| 普定县| 正安县| 郸城县| 岢岚县| 麻阳| 名山县| 白沙| 浑源县| 璧山县| 壶关县| 永川市| 方城县| 亚东县| 吉首市| 芒康县| 阿合奇县| 江安县| 济源市| 安顺市| 昆山市| 中山市| 裕民县| 承德县| 宽城| 平乐县| 河源市| 洮南市| 库尔勒市|