当前位置:产品中心
产品中心
products center
产品中心
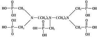
双1,6-亚己基三胺五甲叉膦酸 BHMTPMPA

别名:二己烯三胺五亚甲基膦酸

分子式:C17H44O15N3P5

相对分子质量:685

结构式:

一、性能与用途

BHMTPMPA是高效的螯合型阻垢剂,对碳酸盐垢和硫酸盐垢具有良好的阻垢效果。BHMTPMPA在较宽的pH范围和120°C高温下有极佳的水溶性和热稳定性,对钙离子容忍度高。BHMTPMPA用作油田水处理的缓蚀阻垢剂,工业循环冷却水和锅炉水的阻垢缓蚀剂。

二、技术指标

项目 指标
外观 深琥珀色液体
活性组分% 43.0-48.0
氯化物(以Cl-计)% 8.0
Fe(以Fe2+计)含量mg/L 65.0
密度(20°C)g/cm3 1.20
pH(1%水溶液) 2.0

三、使用方法

单独使用或与聚羧酸型阻垢分散剂配合使用。

四、包装与贮存

BHMTPMPA用塑料桶包装,每桶25kg或根据用户需要确定。BHMTPMPA贮于室内阴凉处,贮存期为十二个月。

五、安全防护

BHMTPMPA为酸性,操作时注意劳动?;?,应避免与皮肤、眼睛等接触,接触后用大量清水冲洗。


返回
主站蜘蛛池模板: 贺州市| 重庆市| 乐平市| 大关县| 景泰县| 枣阳市| 屏边| 青龙| 澄迈县| 阿拉尔市| 任丘市| 且末县| 和顺县| 高唐县| 巧家县| 湄潭县| 沧州市| 青海省| 香河县| 秦皇岛市| 武强县| 双柏县| 泊头市| 德保县| 仪征市| 阜阳市| 缙云县| 靖安县| 固原市| 东山县| 益阳市| 保靖县| 东阳市| 法库县| 西华县| 崇仁县| 兴海县| 垦利县| 垫江县| 临桂县| 宜城市|